日前,河北、湖南、寧夏、新疆、吉林、黑龍江、云南發布2024年公務員招錄公告,中央軍委后勤保障部發布2024年公開招考專業技能崗位文職人員公告。
崗位上新,教育小新為你匯總報名時間、報名入口、招考對象等詳細信息,一起來看——
河北:公開招錄公務員9007名

報名網站:河北省人事考試網(https://www.hebpta.com.cn)
報名時間:
報名時間為2月19日9:00至2月26日17:00
資格審查截止時間為2月27日12:00
繳費截止時間為2月27日17:00
考試時間:
3月16日上午 9:00—11:00 行政職業能力測驗
3月16日下午 14:00—16:30 申論
3月17日上午 9:00—11:00 公安專業科目
公告(內含附件職位表):

湖南:計劃招錄10393人

報名網站:湖南人事考試網(http://www.hunanpea.com)
報名時間:網上確認——2024年2月28日9:00至3月2日24:00,報考省直機關的人員請登錄“湖南人事考試網”進行確認,報考市州及以下機關的人員請登錄報考單位所在市州人事考試網進行確認。
網上繳費——2024年2月28日9:00至3月2日24:00。
考試時間:
行政職業能力測驗:2024年3月16日 9:00-11:00
申論:2024年3月16日 14:00-16:30
法律專業知識:2024年3月17日 9:00-10:30
招警專業科目:2024年3月17日 9:00-11:00
公告(內含附件職位表):

寧夏:計劃招錄1324名公務員

報名網站:寧夏人事考試中心網(http://www.nxpta.com)
報名時間:報考者于2024年2月19日9:00至2月24日18:00登錄報名網站報名。各職位報名情況將在報名期間每天上午10:00公布,供報考者參考。
考試時間:
筆試于2024年3月16日、17日統一進行:
3月16日上午 《行政職業能力測驗》
3月16日下午 《申論》
3月17日上午 《專業科目》
具體考試時間、地點以準考證為準。
公告(內含附件職位表):

新疆:計劃招錄4312名公務員

報名網站:新疆人事考試中心網站(http://www.xjrsks.com.cn)
報名時間:
報名時間:2月18日10︰30—2月23日18︰30
繳費時間:2月18日10︰30—2月24日18︰30
考試時間:
3月16日《行政職業能力測驗》《申論》
3月17日《公安專業科目》《國家通用語言文字基礎知識》
(時間安排如遇特殊原因發生變化的,另行通知。)
公告(內含附件職位表):

吉林:計劃招錄4341人

報名網站:吉林公務員考試網(http://www.jlgwyks.cn)
報名時間:2024年2月19日8:30至2月23日14:30
考試時間:
公共科目筆試時間為2024年3月16日,具體安排為:
9:00—10:30行政職業能力測驗
14:00—16:30申論
公安機關執法勤務類職位公安專業科目筆試時間為:2024年3月17日9:00—11:00。
公告(內含附件職位表):

黑龍江:計劃招錄7768人

報名網站:黑龍江省公務員考試網(http://www.hljsgwy.org.cn)
報名時間:2024年2月19日9:00至2月23日17:00
考試時間:
3月16日
上午 9:00—11:00 行政職業能力測驗
下午 14:00— 16:30 申論
3月17日
上午 9:00—11:00 專業科目考試
公告(內含附件職位表):

云南:計劃招錄5710人

報名網站:報考者通過“考錄專題網頁”(http://www.ynylxf.cn/topicweb/ynskslygwy/index.html)登錄報名系統,提交報考申請。
報名時間:2024年2月19日9:00至2月23日18:00
考試時間:
公共科目筆試時間為:
2024年3月16日上午 9:00-11:00 行政職業能力測驗
2024年3月16日下午 14:00-16:30 申論
公安機關人民警察職位專業科目筆試時間為:
2024年3月17日上午 9:00-11:00
公告(內含附件職位表):

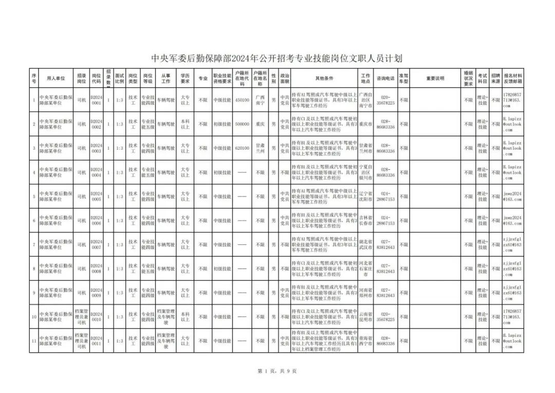
中央軍委后勤保障部2024年公開招考專業技能崗位文職人員公告
為延攬社會優秀人才為軍隊建設服務,根據《中國人民解放軍文職人員條例》及有關政策規定,中央軍委后勤保障部將組織實施2024年面向社會公開招考專業技能崗位文職人員。現就有關事項公告如下:
一、招考崗位
涉及司機、食堂管理員、炊事員、出納、倉庫保管員、營房維修班班長、木工、設施設備維護員、消防員、鍋爐工、水暖工、汽車修理技師、調度員、網絡管理員、音像技師、理發員等17個專業、281個崗位,均為專業技能三級到專業技能五級技術工崗位。
二、招考對象
招考對象為符合規定報考條件的社會人員,并具備招考崗位計劃明確的戶籍、學歷、職業資格、工作經歷等條件。
下列人員不得報考:
(1)因犯罪受過刑事處罰的。
(2)被開除中國共產黨黨籍的。
(3)被開除公職的。
(4)被依法列為失信聯合懲戒對象的。
(5)在公務員、事業單位工作人員和軍隊文職人員招考中被認定有舞弊等嚴重違反錄用紀律行為的。
(6)近3年作為軍隊文職人員擬錄用對象公示后,本人自愿放棄錄用資格的。
(7)被軍隊用人單位或者機關事業單位辭退(單方面解除聘用合同)未滿5年的。
(8)現役軍人、在職軍隊文職人員(公告發布之日)。
(9)法律、法規規定不得招錄聘用為文職人員的。
此外,報考人員不得報考與本人有夫妻關系、直系血親關系、三代以內旁系血親關系以及近姻親關系的軍隊人員擔任領導成員的用人單位的崗位,也不得報考與軍隊人員有夫妻關系、直系血親關系、三代以內旁系血親關系,在同一用人單位雙方直接隸屬于同一領導人員的崗位或者有直接上下級領導關系的崗位,以及軍隊人員擔任領導職務的人力資源、紀檢監察、審計、財務、軍事設施等敏感崗位。
三、報考條件
(一)政治條件。應當符合軍隊招錄聘用文職人員政治考核的標準條件。
(二)學歷條件。應當具有大學專科以上學歷。
(三)資格條件。應當分別取得相應專業(工種)、相應等級的職業資格;招考崗位屬于軍隊特有職業技能鑒定工種的,在符合其他條件的基礎上可先行報名,招考過程中一并組織職業技能等級考核鑒定。
(四)身體條件。應當符合軍隊招錄聘用文職人員體格檢查的標準條件。
(五)年齡條件。報考專業技能三級、四級崗位的,年齡為18周歲以上、35周歲以下(1988年2月至2006年2月期間出生);報考專業技能五級崗位的,年齡為18周歲以上、30周歲以下(1993年2月至2006年2月期間出生)。
(六)其他條件。除上述條件外,其他報考條件由用人單位根據崗位需要確定,具體見招考崗位計劃。
報考人員取得學歷和職業資格截止時間為2024年2月29日。
四、招考程序
(一)公布招考信息。中央軍委后勤保障部通過軍隊人才網發布招考公告,并公示招考崗位計劃。
(二)網上報名。報名時間為2月20日8:00至2月25日18:00。報考人員登錄軍隊人才網“2024年軍隊面向社會公開招考專業技能崗位文職人員報名系統”,按照報名流程及要求,如實填報個人信息,選擇用人單位和招考崗位,符合優待加分條件的選擇相應加分理由。選擇崗位時,需逐項確認本人是否符合相應條件,因個人原因填錯信息、誤報崗位的,責任由本人承擔。
(三)資格審核。報考人員報名后,應根據報考崗位要求的標準條件,提供相關證明材料掃描件至指定電子郵箱(附后)。報考人員確認報名信息并提交相關證明材料后,不可更改,無需繳費,直接進入資格審核環節。用人單位對考生提供的證明材料進行初審,并采取電話、短信、電子郵件等方式通知通過報考條件初審的考生參加理論考試,考生應保持通信暢通。對通過報名資格條件初審人數2人以下的招考崗位,取消招考崗位計劃;對招考崗位計劃數量與通過報考資格條件初審人數比例未達到1:3的,等比例縮減招考崗位計劃數量,具體崗位適時由用人單位通知考生。
對通過報名資格審核且取得理論考試有效成績的下列人員,理論考試成績享受加分優待:
①軍隊烈士的配偶子女、因公犧牲軍隊人員的配偶子女、未婚軍隊烈士的兄弟姐妹,加10分。
②現役軍人、2024年退役軍人(退役命令時間為2024年1月1日以后)、在職病故軍人和現役干部轉改文職人員的配偶子女,在軍隊工作年限滿5年的社會用工(截至2024年2月),以及服役年限滿5年的退役軍人,加5分。
③參加由中央軍委或者中央軍委機關部門批準的作戰、有作戰背景的軍事行動、非戰爭軍事行動的社會用工和退役軍人,經派出用人單位鑒定表現突出的,加5分。其中,屬于軍隊烈士和因公犧牲軍隊人員的配偶子女、未婚軍隊烈士的兄弟姐妹的,加15分;屬于現役軍人、2024年退役軍人、在職病故軍人和現役干部轉改文職人員的配偶子女的,加10分。
報考人員同時符合上述各項規定加分情形的,理論考試成績加分分數不累計,按照最高情形確定。用人單位將通過在線審核或現場核實的方式確認加分資格,具體時間以用人單位通知為準。
(四)理論考試。3月4日9:00至3月5日18:00,通過報考資格審核的考生,登錄指定網站打印準考證,憑準考證、身份證參加中央軍委后勤保障部統一組織的理論考試(政治理論20分、專業知識80分)。用人單位同步組織對考生的報考資格和加分材料進行復審,不符合條件的取消報考資格或者加分優待。
(五)確定入圍人員。理論考試結束后,用人單位將按照理論成績(含政策加分)由高到低,根據招考崗位入圍比例確定入圍人員,并在軍隊人才網公布。
(六)綜合考核。3月中旬,用人單位對入圍人員進行綜合考核。綜合考核滿分100分,其中技能實操考核占60%,綜合素質面試占40%。具體時間安排和形式方法用人單位將適時通知入圍人員,請保持相關聯絡方式暢通,因考生本人原因48小時內未取得聯系的,取消報考資格。
(七)體格檢查。用人單位統一組織預選對象進行體檢,體檢在規定的醫療機構進行。報考人員對體檢結果有疑問的,可以在接到體檢結果3日內,向用人單位申請一次復檢。符合規定參加復檢的,體檢結果以復檢結論為準。其中,對可通過服用藥物或者其他治療手段影響檢查結果的項目,體檢醫療機 構不予復檢,體檢結論以初檢結論為準。
(八)確定預選對象。3月20日前,對體檢合格的報考人員,用人單位按照理論考試(含政策加分)占40%,綜合考核占60%的比例計算總成績,根據總成績由高到低確定預選對象,其數量按照招考崗位計劃人數120%的比例確定。其中,綜合考核低于60分或者體檢不合格的,不得作為預選對象;考試考核總成績相同的,依次按照綜合考核成績、技能實操考核確定排名順序。用人單位將及時把報考人員是否被確定為預選對象告知本人。
(九)政治考核。預選對象的政治考核,按照軍隊征集和招錄人員政治考核有關規定組織實施。政治考核以考核本人政治思想表現為主,重點考核擁護執行黨的理論和路線、方針、政策,遵守國家法律法規,重大原則問題、重大政治斗爭中的政治立場、政治態度和現實表現,遵守政治紀律和政治規矩,道德品質、宗教信仰、社會交往、誠實守信和出國(境)等情況,以及家庭成員、配偶的父母、未共同生活的兄弟姐妹的政治背景和違法犯罪等情況。
(十)確定擬錄用對象。對政治考核結論為通過的預選對象,用人單位根據總成績排名,按照招考崗位計劃人數確定擬錄用對象。擬錄用對象由中央軍委后勤保障部政治工作部門統一審核后在軍隊人才網對外公示,同時公布監督受理電話和電子郵箱,接受社會監督,公示時間為5個工作日。
報考人員被確定為擬錄用對象后,本人自愿放棄錄用資格或者經核查不符合錄用條件的,用人單位應當按照總成績由高到低,從政治考核結論為通過的其他預選對象中確定擬錄用對象,并按照規定進行公示。
(十一)審批錄用。用人單位按照規定權限審批錄用對象,首次聘用合同期限2年。新錄用人員實行試用期,時間2個月。試用期考核不合格的新錄用人員,取消錄用資格。
資格條件審查貫穿招考工作全過程。在招考各環節發現報考人員不符合報考資格條件的,用人單位均可以取消其報考資格或者錄用資格。
五、特別提示
根據有關政策法規,專業技能崗位文職人員的聘用管理和福利待遇有別于管理崗位和專業技術崗位文職人員,均實行聘用制、簽訂聘用合同。本次公開招考專業技能崗位文職人員理論考試和綜合考核不指定輔導用書,不舉辦也不委托任何機構舉辦輔導培訓班,敬請廣大報考人員提高警惕,切勿上當受騙。各用人單位設立招考咨詢電話,可從崗位計劃中查看。
2024年中央軍委后勤保障部面向社會公開招考專業技能崗位文職人員工作最終解釋權歸中央軍委后勤保障部政治工作部門。
附件:中央軍委后勤保障部2024年公開招考專業技能崗位文職人員計劃









文章來源:中國教育新聞網綜合自各省公務員考試網、微言教育、軍隊人才網
圖片來源:微言教育、軍隊人才網、各省公務員考試網截圖
本文只為傳遞信息,如存在文章/圖片/音視頻等資源使用不當的情況,請聯系中國教育新聞網。
工信部備案號:京ICP備05071141號
互聯網新聞信息服務許可證 10120170024
中國教育報刊社主辦 中國教育新聞網版權所有,未經書面授權禁止下載使用
Copyright@2000-2022 m.zhmqcg.com All Rights Reserved.