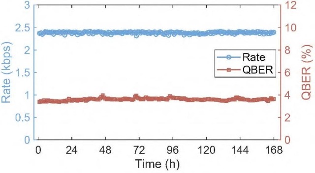
新華社北京2月22日電(記者劉禎)記者22日從北京量子信息科學研究院獲悉,我國科研團隊提出了單向量子直接通信理論,并成功研制出實用化系統,創造了在104.8km標準光纖通信實驗測試中連續168小時、速率為2.38kbps的穩定傳輸紀錄,量子直接通信從理論構想邁向實際應用階段。
此項研究由北京量子信息科學研究院與清華大學、北方工業大學相關團隊合作完成,相關成果論文已在學術期刊《科學進展》發表。

單向量子直接通信理論方案。(北京量子信息科學研究院供圖)
量子直接通信由清華大學龍桂魯團隊原創提出,它借助量子態實現安全通信,具有竊聽感知、阻止竊聽、兼容現有網絡、簡化管理流程以及隱蔽傳輸等五大特性,為保障信息傳輸安全提供了全新解決方案。
如何利用能量極低且極易受干擾的量子態,在高噪聲、高損耗以及存在竊聽風險的量子信道中實現安全可靠的通信,一直是該領域亟待攻克的核心難題。此前研究采用雙向協議,通信雙方需進行量子態的往返傳輸,導致系統損耗極大,嚴重制約了通信性能的提升。
“2022年,我們曾創造了100公里的量子直接通信世界紀錄,但速率僅為 0.5bps,僅能傳輸字數極少的報文。”清華大學教授龍桂魯介紹,單向傳輸可將量子態傳輸距離縮短一半,大幅降低損耗,是提升量子直接通信性能的關鍵。
此項研究中,科研團隊成功突破了高噪高損信道編碼、信道掩碼增容、高速量子態調制解調等系列關鍵技術,提出單向量子直接通信理論方法,利用同一組光量子態同時實現了信息的安全傳輸與密鑰協商,成功解決了量子直接通信的技術難題,還完成了實用化通信端機的研制。與2022年的系統相比,速率提升了4760倍,極大提升了量子直接通信的性能。

信息傳輸速率與量子比特誤碼率測試結果。(北京量子信息科學研究院供圖)
“這項研究成果開啟了量子直接通信實用化建設的新征程。未來,量子直接通信系統有望廣泛應用于政務、金融等對信息安全要求極高的領域,切實增強通信安全性。”龍桂魯說。
工信部備案號:京ICP備05071141號
互聯網新聞信息服務許可證 10120170024
中國教育報刊社主辦 中國教育新聞網版權所有,未經書面授權禁止下載使用
Copyright@2000-2022 m.zhmqcg.com All Rights Reserved.